- Química OrgânicaCadeias Carbônicas
- Química OrgânicaIsomeria Plana e Espacial
- Química OrgânicaReações OrgânicasReações Orgânicas: Oxidação, Redução e Polimerização
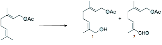
O esquema a seguir mostra a obtenção de compostos alílicos a partir do geraniol.

Sobre os produtos formados é INCORRETO afirmar que