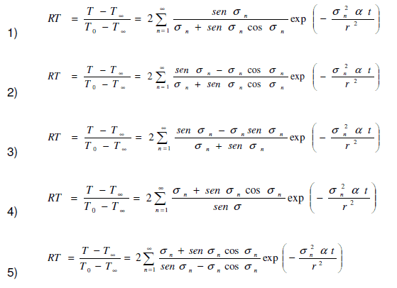
Antes do fruto maçã ser colocado em uma Unidade de Armazenagem a frio, é necessário resfriá-lo, passando da temperatura ambiente de 25°C, para uma temperatura de 4°C, com a finalidade de conservar a maçã por semanas até o período de consumo. Este processo é realizado em um túnel de resfriamento, antes de a maçã ser colocada no armazém a 4 °C. Considerando que o processo de resfriamento segue a equação de Fourier e que a maçã é considerada como um fruto esférico, qual das equações abaixo pode ser utilizada para calcular o tempo em que a maçã levará para atingir a temperatura de 4°C?

em que
!$ RT !$ = razão de temperatura, adimensional.
!$ T !$ = temperatura do produto em cada momento, °C.
!$ T_\infty !$= temperatura do meio de resfriamento, °C.
!$ T_0 !$= temperatura inicial do produto, °C.
!$ \sigma_n !$ = raiz da equação transcendental.
!$ \alpha !$ = difusividade térmica, mm2 .s-1.
!$ r !$ = raio do fruto.
!$ t !$ = tempo, s.