A reação de Maillard, que ocorre entre aminoácidos e carboidratos redutores, é a responsável por formar espécies que geram compostos coloridos que conferem o sabor característico de diversos alimentos assados. Um exemplo é a reação entre a glicina e um carboidrato redutor mostrada na equação em que R representa uma cadeia genérica:

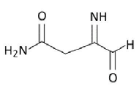
Um aminoácido específico (Composto 1), ao reagir com o carboidrato redutor, pode gerar o Composto 2, levando à formação de acrilamida, uma espécie potencialmente carcinogênica, conforme mostrado na equação:

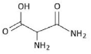
A estrutura do aminoácido marcado como Composto 1 e que é capaz de gerar esse intermediário de espécies carcinogênicas é: