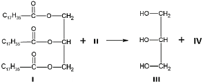
Levando em consideração a equação química, analise as afirmativas a seguir.

I. A reação do composto I com etanol em meio ácido é utilizada para se obter compostos sulfônicos.
II. Aquecendo-se o composto I com hidróxido de sódio, em condições apropriadas, o produto IV apresentará uma parte hidrofílica e outra hidrofóbica.
III. O composto I é um anidrido – constituinte químico presente em óleos essenciais.
IV. A reação pode ser utilizada para a obtenção de biodiesel, caso o composto II seja o álcool metílico.
Está correto o que se afirma apenas em