Magna Concursos
355099 Ano: 2018
Disciplina: Física
Banca: FADESP
Orgão: IF-PA
Provas:

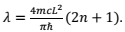
Um ponto quântico (quantum dot) é uma nanoestrutura (geralmente semicondutora) cujos elétrons têm sua energia quantizada, como num átomo. Estes materiais podem ser utilizados como marcadores luminosos em células. Uma vez fixados na célula e iluminados com luz, esses pontos quânticos agem como fontes de luz fluorescente e suas imagens podem ser vistas usando-se microscópio ótico. Este ponto quântico em uma dimensão pode ser estudado considerando-se um elétron confinado em um poço de potencial. Assim, os níveis de energia podem ser controlados mudando-se a largura L, a forma e a profundidade do poço de potencial. Considerando um elétron de massa m em um poço de potencial infinito de largura L, o comprimento de onda emitida pela transição de um elétron entre dois níveis de energia (n+1) e n é dada por

Obs: (c é a velocidade da luz no vácuo e h = h/2π e h é a constante de Planck).

 

Provas

Questão presente nas seguintes provas

Professor PEBTT - Física

60 Questões