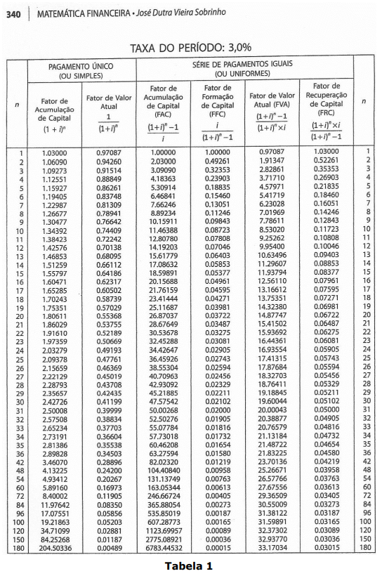
João fez uma aplicação de R$ 10.000,00 (dez mil reais), pelo prazo de seis meses, a
uma taxa de 3% ao mês. Qual o valor montante resultante da aplicação do valor investido por João
ao final dos seis meses, se considerarmos pelo regime de capitalização composta? Para obter o valor
correspondente à função exponencial, consulte a Tabela 1, definida para a taxa de 3%, para o prazo
correspondente. O valor total do montante da aplicação após o prazo de seis meses corresponde a:

