Durante o desenvolvimento de projetos de pesquisa na área de química, são necessárias habilidades e
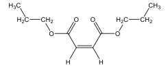
conhecimentos em síntese e análise orgânica. A síntese do dipropil maleato (Figura) forma um produto oleoso
de odor forte que pode ser analisado pela técnica de ressonância nuclear magnética:

Figura - Estrutura química do dipropil maleato
A respeito da síntese e análise do dipropil maleato, assinale a alternativa correta:

Figura - Estrutura química do dipropil maleato
A respeito da síntese e análise do dipropil maleato, assinale a alternativa correta: