Magna Concursos
118356 Ano: 2015
Disciplina: Matemática
Banca: IF-RS
Orgão: IF-RS
Provas:

Classifique cada uma das afirmações abaixo em verdadeiro (V) ou falso (F) e marque a alternativa que preenche CORRETAMENTE as lacunas, na ordem de cima para baixo:


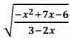
( ) O domínio da função f( x ) = enunciado 118356-1 é dadopor D = [1,3/2 [ ∪ [6 ,+ ∞ [.

( ) A função g (x ) = enunciado 118356-2 tem seu domínio expresso pelo conjunto D = [0 ,2[ ∪ [7, + ∞[.

( ) A função h( x ) = enunciado 118356-3 tem domínio dado por D = [ -3/2, + ∞[.

( ) A função I( x ) = log (-x + 2 )(x 2 - 2x - 24) tem seu domínio igual a: D =] - 4, + ∞[.

 

Provas

Questão presente nas seguintes provas

Professor - Matemática

30 Questões