Magna Concursos
680869 Ano: 2015
Disciplina: Engenharia Civil
Banca: UFES
Orgão: UFES
Provas:
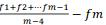
De acordo com a Norma ABNT NBR 12655:2006, consideram-se dois tipos de controle de resistência. No caso do controle estatístico do concreto por amostragem parcial, a forma de cálculo do valor estimado da resistência característica, fckest, para lotes de concreto com número de exemplares 6n < 20 , em ordem crescente, é

Considere m = n/2 e f1, f2, fm-1 os valores das resistências dos exemplares
Questão Anulada

Provas

Questão presente nas seguintes provas