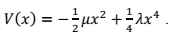
Uma partícula de massa m se encontra num potencial do tipo

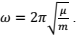
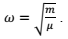
A constante μ é um número positivo. Determine os pontos de estabilidade para o movimento da partícula. Para pequenas oscilações em torno dos pontos de equilíbrio estável a frequência angular de oscilação é