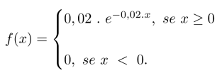
Capacitor é um dispositivo que armazena cargas elétricas quando ocorre uma diferença de potencial entre seus terminais. O tempo de vida útil de um capacitor produzido por uma determinada empresa é medido em anos. Assuma que o tempo de vida útil do capacitor é uma variável aleatória contínua e pode ser modelada pela função densidade de probabilidade a seguir:

Em condições ideais de uso, a empresa reembolsará o consumidor se o capacitor apresentar algum problema antes de 18 meses de uso. Determine a probabilidade de um cliente ser reembolsado. Considere que ln(1,03) = 0,03.