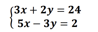
Determine o conjunto solução para o seguinte sistema:


Provas
Questão presente nas seguintes provas
Arquiteto
40 Questões
Assistente Social
40 Questões
Auditor-Fiscal
40 Questões
Contador
39 Questões
Enfermeiro
40 Questões
Engenheiro Civil
40 Questões
Fonoaudiólogo
40 Questões
Médico
40 Questões
Médico Veterinário
40 Questões
Nutricionista
40 Questões
Psicólogo
40 Questões
Psicopedagogo
40 Questões