Magna Concursos
1200239 Ano: 2018
Disciplina: Matemática
Banca: IDECAN
Orgão: IPC-ES

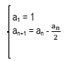
Considere a sequência:

enunciado 1200239-1

O valor da soma de todos os termos desta sequência é igual a:

 

Provas

Questão presente nas seguintes provas