Magna Concursos
3248978 Ano: 2015
Disciplina: Física
Banca: UFMA
Orgão: IF-MA
Provas:

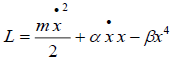
Considere a lagrangeana Enunciado 3248978-1 , definida para um sistema físico particular com m , \( \alpha \) e \( \beta \) constantes. A equação de movimento para esse sistema é

 

Provas

Questão presente nas seguintes provas

Professor PEBTT - Física

60 Questões