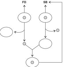
O óvulo desnucleado de uma ovelha, da raça “Scottish Blackface” (SB), recebeu o núcleo de uma célula mamária de outra ovelha, da raça “Finn Dorset” (SB). O embrião resultante dessa união foi implantado na ovelha SB, conforme mostrado na figura.

O embrião implantado na ovelha SB resultou no clone Dolly. 
Com relação à origem dos genes nucleares e mitocondriais da ovelha Dolly, assinale a opção correta.