Magna Concursos
2964001 Ano: 2023
Disciplina: Física
Banca: UFSCAR
Orgão: UFSCAR
Provas:
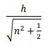
Quando um mergulhador está embaixo d'água e olha para cima, ele enxerga a luz de fora entrando pela superfície da água apenas dentro de uma janela circular de luz de raio R chamada de janela de Snell. Esse fenômeno é explicado pela refração da luz e pelo ângulo limite da reflexão total. Considerando o índice de refração da água como n, o do ar como 1, e que o mergulhador está a uma profundidade h abaixo da superfície da água, qual o valor de R?
 

Provas

Questão presente nas seguintes provas

Físico

60 Questões