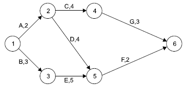
Para a construção de uma obra, utilizou-se o cronograma da figura, em que as atividades estão representadas por letras, seguidas de suas durações, em dias.

A duração dessa obra, em dias, é

A duração dessa obra, em dias, é