Magna Concursos
1288527 Ano: 2019
Disciplina: Biologia
Banca: VUNESP
Orgão: UNESP
Provas:
O Brasil já é o segundo país que mais realiza a cirurgia bariátrica, que reduz o tamanho do estômago.
O paciente consegue emagrecer porque perde a fome radicalmente — a quantidade de comida consumida cai a um quarto, em média, por falta de espaço. Apesar dos avanços técnicos e das facilidades, a cirurgia está longe de ser uma intervenção simples.
(Natalia Cuminale. “Emagrecer na faca”. Veja, 13.03.2019. Adaptado.)
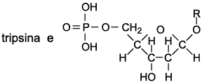
Além de aumentar a sensação de saciedade, mesmo com pequena ingestão de alimentos, a redução do estômago também reduz a quantidade de suco gástrico secretado pela parede estomacal, comprometendo a digestão do alimento nessa porção do aparelho digestório.
A principal enzima digestória do suco gástrico e a estrutura química dos monômeros das moléculas sobre as quais atua são
 

Provas

Questão presente nas seguintes provas

Vestibular

90 Questões