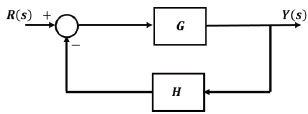
Um sistema de controle retroalimentado básico está representado na figura abaixo. A razão entre o sinal de saída e o sinal de entrada é chamada de função de transferência do sistema.

Fonte: Arquivo da Banca Elaboradora.
Calcule:
1. A razão entre o sinal de saída/sinal de entrada do sistema para uma situação genérica.
2. A razão entre o sinal de saída/sinal de entrada do sistema para a situação particular onde o ganho direto é bastante elevado.
Apresenta corretamente essas duas funções de transferência a opção:
Provas
Questão presente nas seguintes provas