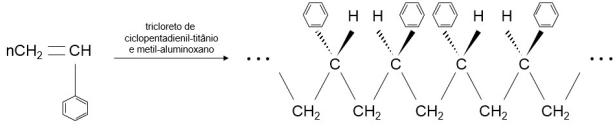
A reação a seguir trata de uma polimerização em solução, tendo como resultado a precipitação de um tipo de
poliestireno (PS), que é separado do solvente, seco e posteriormente granulado.

Analisando o intervalo da estrutura do poliestireno gerado, é correto afirmar que se trata de uma configuração tipo:

Analisando o intervalo da estrutura do poliestireno gerado, é correto afirmar que se trata de uma configuração tipo: