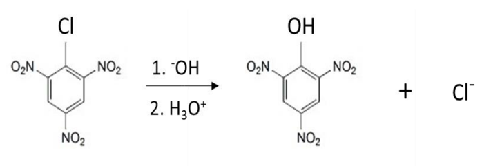
O composto 2,4,6-trinitroclorobenzeno reage com o NaOH aquoso à temperatura ambiente para formar o 2,4,6-trinitrofenol com rendimento de 100%. Nesse sentido, analise a reação abaixo:

Trata-se de uma reação de:
O composto 2,4,6-trinitroclorobenzeno reage com o NaOH aquoso à temperatura ambiente para formar o 2,4,6-trinitrofenol com rendimento de 100%. Nesse sentido, analise a reação abaixo:

Trata-se de uma reação de: