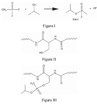
O gás Sarin, utilizado na produção de armas químicas devido a sua ação como potente inibidor da enzima acetilcolinesterase, é uma proteína que degrada a acetilcolina (neurotransmissor liberado na fenda sináptica) e age na enzima, formando uma ligação covalente com o resíduo de serina no sítio ativo.
A seguir, a figura I representa a reação de obtenção do gás Sarin; a figura II, a fórmula estrutural do resíduo de serina incorporado à estrutura da acetilcolinesterase no sítio ativo; e a figura III, o modo como ocorre a ligação covalente entre o gás Sarin e o resíduo de serina.

Tendo o conjunto de informações acima como referência, julgue o item seguinte.
A ligação covalente entre o Sarin e o resíduo de serina no sítio ativo ocorre com um átomo de oxigênio localizado na cadeia principal polipeptídica da acetilcolinesterase.