Magna Concursos
2673801 Ano: 2023
Disciplina: Matemática
Banca: FGV
Orgão: Pref. São Paulo-SP

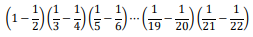
O valor da expressão aritmética

Enunciado 3585615-1

é igual a

 

Provas

Questão presente nas seguintes provas