Magna Concursos
455282 Ano: 2019
Disciplina: Matemática
Banca: IADES
Orgão: CAU-MT
Provas:

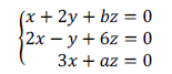
As variáveis x, y e z estão relacionadas conforme o seguinte sistema de equações:

enunciado 455282-1

Sabendo que o sistema apresenta mais de uma solução, assinale a alternativa correta.

 

Provas

Questão presente nas seguintes provas

Assistente Administrativo

50 Questões