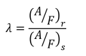
Devido à variação da composição da mistura A/F entre diferentes motores e em seus diversos regimes de operação, define-se um fator, conhecido como lambda (λ), obtido a partir da razão entre os valores da razão ar/combustível real e a estequiométrica, conforme equação a seguir:

Onde: λ: fator lambda; A/F(r): razão ar/combustível em massa real; A/F(s): razão ar/combustível em massa estequiométrica.
Avalie as seguintes afirmações e julgue-as como verdadeiras (V) ou falsas (F).
( ) Um fator lambda unitário (λ=1) informa que o sistema de alimentação de combustível está fornecendo ao motor uma quantidade de combustível igual à quantidade teórica necessária para a combustão completa, mistura estequiométrica.
( ) Um fator lambda maior que a unidade corresponde à formação de mistura pobre.
( ) Um fator lambda menor do que a unidade indica o emprego de misturas ricas.
De acordo com as afirmações, a sequência correta é: