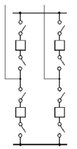
Analise o diagrama unifilar abaixo, de um arranjo físico típico de subestações de sistemas elétricos de potência.

Tal arranjo refere-se:
Analise o diagrama unifilar abaixo, de um arranjo físico típico de subestações de sistemas elétricos de potência.

Tal arranjo refere-se: