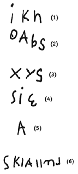
Gabriela, 6 anos, está em processo de alfabetização e, no momento, apresenta a seguinte forma de escrita:

(E. Ferreiro, Reflexões sobre a alfabetização, 2001)
(1) ga-to (gato)
(2) ma-ri-po-sa (borboleta)
(3) ca-ba-llo (cavalo)
(4) pez (peixe)
(5) mar (mar)
(6) el-ga-to-be-be-le-che (o gato bebe leite)
Gabriela usa letras de forma tradicional, mas sem seu valor sonoro convencional: cada letra vale por uma sílaba. Para Emília Ferreiro, em seu livro, Reflexões sobre a alfabetização, Gabriela está no período de escrita denominado