Julgue o item a seguir, relativo à eletrônica digital.
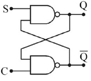
Se, no circuito apresentado na figura a seguir, ambas as entradas S e C forem iguais a 0, a saída Q será igual a 0.

Provas
Questão presente nas seguintes provas
Analista de TI - Infraestrutura e Operações
120 Questões