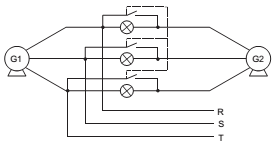
O esquema abaixo refere-se a um sistema com dois geradores trifásicos interligados, sendo o principal o G1 e o secundário o G2, com uma chave trifásica para interligar G2 à rede de transmissão e três lâmpadas indicadoras da condição dos geradores.

Estando a chave trifásica