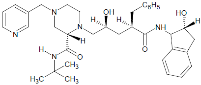
Um medicamento importante no tratamento da AIDS é o Crixivan, cuja molécula está abaixo representada.

Sobre esta estrutura, são dadas as seguintes afirmativas:
I. Apresenta 8 ligações pi.
II. Possui 19 carbonos sp2.
III. Sua fórmula molecular é C36H47O5N4. O4N5
IV. Faz ligações de Hidrogênio com a água.
Estão corretas apenas as afirmativas