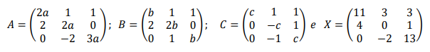
Considere as matrizes a seguir

Representando a equação matricial A + B + C = X abaixo

Os valores de a, b e c que satisfazem a equação proposta devem ser:
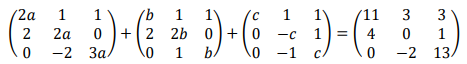
Considere as matrizes a seguir

Representando a equação matricial A + B + C = X abaixo

Os valores de a, b e c que satisfazem a equação proposta devem ser: