Magna Concursos
Questões
Planos
Entrar
Entrar
Criar Conta
Respondida
2379554
Ano:
2008
Disciplina:
Biologia
Banca:
Marinha
Orgão:
Col. Naval
Provas:
Aluno do Colégio Naval
Provas
×
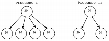
Observe os esquemas abaixo
De acordo com os esquemas apresentados, assinale a opção correta.
A
O processo
II
possibilita o crescimento do organismo, a regeneração de partes perdidas e formação das células reprodutivas.
B
A realização do processo
II
é fundamental na reprodução sexuada, pois garante a manutenção do número de cromossomos da espécie.
C
O processo
II
origina células-filhas com um conjunto completo de cromossomos, mas, geneticamente diferentes.
D
O processo
I
é realizado durante o desenvolvimento embrionário, na cicatrização de ferimentos e crescimento de pêlos.
E
O processo
I
é fundamental na produção de células reprodutivas, tanto em plantas como animais, originando células-filhas haplóides.
Resolver
Comentários
0
×
Cadernos
×
Flashcards
×
Estatísticas
×
Reportar um erro
×
Provas
Questão presente nas seguintes provas
Aluno do Colégio Naval
70 Questões
Resolver Prova
Publicar
Responder
Qual o problema da questão?
Selecione uma opção
Questão Desatualizada
Questão Repetida
Gabarito Errado
Outros Motivos
Mensagem
Enviar
Acessar
Criar Conta
Acesse sua Conta
Google
Facebook
Esqueci minha senha
Acessar
Ainda não tem conta?
Crie uma
!
Crie uma Conta
Criar Conta
Olá, para continuar, precisamos criar uma conta!
É
rápido
e
grátis
.
Google
Facebook
Concordo com os
Termos de Uso
Criar
Já tem uma conta?
Acesse aqui