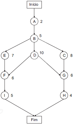
Para a realização de um projeto, foi construída a rede da figura abaixo, que mostra as atividades, o tempo de realização de cada atividade, em dias, e a relação de precedência.

A partir da análise da rede da figura, conclui-se que o tempo inicial mais cedo ESG, o tempo final mais cedo EFG, o tempo inicial mais tarde LSG, o tempo final mais tarde LFG e a folga SG da atividade G são, respectivamente,
Provas
Questão presente nas seguintes provas