- Química OrgânicaIsomeria Plana e Espacial
- Química OrgânicaPropriedades Físicas dos Compostos Orgânicos
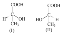
Compostos orgânicos podem apresentar as mesmas fórmulas moleculares e propriedades físicas e químicas diferentes. Observe as duas estruturas abaixo e marque a opção correta.
