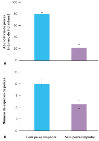
A figura a seguir demonstra a variação da abundância (A) e diversidade (B) de uma comunidade de peixes de recifes corais antes e 18 meses após a remoção de peixes limpadores.

Fonte: Grutter AS et al. Cleaner fish drives local fish diversity on coral reefs. Current Biology. 2003; 13:647. Retirado de Ricklefs, R.E. Economia da Natureza. 6ª ed. Guanabara Koogan p. 547.
Avaliando-se os dados apresentados na figura, é correto afirmar que o efeito observado ocorreu em decorrência da relação ecológica denominada