Magna Concursos
831838 Ano: 2011
Disciplina: Engenharia Química
Banca: CESGRANRIO
Orgão: Transpetro
Provas:

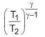
Um mol de um gás ideal com capacidades caloríficas constantes (Cp e Cv ) sofre uma expansão isentrópica de um estado inicial a uma temperatura T1 e uma pressão P1 a um estado final, a uma temperatura T2 e uma pressão P2 . Se a razão Enunciado 831838-1 for igual a ϒ, então, a razão P1/P2 será igual a

 

Provas

Questão presente nas seguintes provas

Engenheiro de Processamento

70 Questões