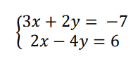
Considerando o sistema de equação de 1° grau a seguir, os valores de x e y são, respectivamente:

Provas
Questão presente nas seguintes provas
Professor - Educação Infantil e Séries Iniciais
50 Questões
Considerando o sistema de equação de 1° grau a seguir, os valores de x e y são, respectivamente:
