Magna Concursos
1106603 Ano: 2016
Disciplina: Matemática
Banca: ZAMBINI
Orgão: MPE-SP

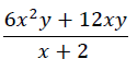
Simplificando a expressão, obtém-se:

enunciado 1106603-1

 

Provas

Questão presente nas seguintes provas

Auxiliar de Promotoria - Motorista

50 Questões