
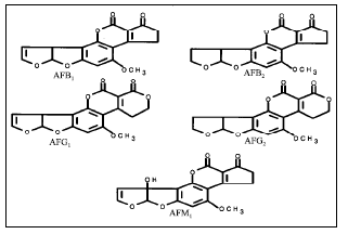
Aflatoxinas são micotoxinas produzidas por fungos do gênero Aspergillus que contaminam os alimentos, principalmente cerais e amendoim. A contaminação dos alimentos pelo fungo está diretamente relacionada com o teor de umidade do produto e com a temperatura do ambiente.
O Ministério da Agricultura, Pecuária e Abastecimento (MAPA) analisa grãos destinados ao consumo humano e animal quanto ao teor de aflatoxinas totais — soma das aflatoxinas AFB1, AFB2, AFG1 e AFG2 —, que não deve ultrapassar 20 • g/kg. Nos organismos humano e animal, a aflatoxina AFB1 é metabolizada formando a aflatoxina AFM1, também tóxica, que é secretada no leite. A maior toxicidade das aflatoxinas AFB1 e AFG1 em relação a AFB2 e AFG2 deve-se, principalmente, às características estruturais dessas moléculas. As estruturas químicas das aflatoxinas estão mostradas na figura acima. Considerando essas informações, julgue os itens abaixo, com relação às aflatoxinas.As aflatoxinas mostradas na figura são produzidas por fungos do gênero Aspergillus.
Provas
Questão presente nas seguintes provas
Auditor-Fiscal Agropecuário - Químico/Laboratório
200 Questões