Magna Concursos
1851654 Ano: 2008
Disciplina: Matemática
Banca: CESPE / CEBRASPE
Orgão: SGA-AC

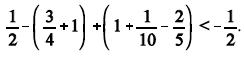
Julgue os itens seguintes, relacionados a expressões algébricas.

Enunciado 3379674-1

 

Provas

Questão presente nas seguintes provas

Auxiliar de Serviços Gerais

100 Questões