Magna Concursos
790360 Ano: 2015
Disciplina: Química
Banca: ENEM
Orgão: ENEM
Provas:
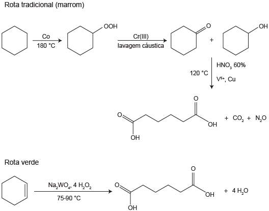
A química verde permite o desenvolvimento tecnológico com danos reduzidos ao meio ambiente, e encontrar rotas limpas tem sido um grande desafio. Considere duas rotas diferentes utilizadas para a obtenção de ácido adípico, um insumo muito importante para a indústria têxtil e de plastificantes.
Enunciado 790360-1
LENARDÂO,E. J. et al. Green chemistry - os 12 princípios da química verde e sua inserção nas atividades de ensino e pesquisa. Química Nova, n. 1, 2003 (adaptado).
Que fator contribui positivamente para que a segunda rota de síntese seja verde em comparação à primeira?
 

Provas

Questão presente nas seguintes provas