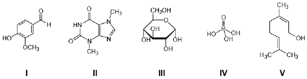
A composição de um dos refrigerantes mais ácidos mundialmente consumido é mantida em segredo pelos seus produtores. Existe uma grande especulação em torno da "fórmula"dessa bebida, a qual envolve algumas das seguintes substâncias:

A substância presente nesse refrigerante, responsável pelo seu acentuado caráter ácido, é a
Provas
Questão presente nas seguintes provas