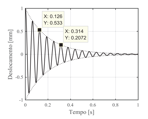
Considere a realização de um ensaio em vibração livre num sistema mecânico com um grau de liberdade que tem massa de 1 kg e rigidez de 10 kN/m. A resposta em deslocamento no domínio do tempo é apresentada na fi gura, a seguir. Sabendo que o logaritmo neperiano da razão entre as amplitudes 5 e 6 é 0,314 (x6 = 0,2072 mm; x5 = 0,284 mm). Considerando π = 3,14, marque a alternativa correta para a frequência natural do sistema, a constante de amortecimento e o fator de amortecimento.

Resposta ao deslocamento em vibração livre sistema 1GDL