Magna Concursos
2007996 Ano: 2020
Disciplina: Matemática
Banca: CESPE / CEBRASPE
Orgão: SEED-PR
Provas:
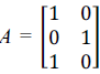
Considerando-se Enunciado 2007996-1 uma matriz 3 × 2, se At denota a trasposta de A, então o produto At × A é a matriz
 

Provas

Questão presente nas seguintes provas

Professor - Matemática

40 Questões