Magna Concursos
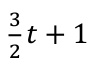
Uma função do primeiro grau é definida como f(x) = ax+b, sendo a0 e {a,b} Enunciado 3089693-1. Se f(-2) = -2 e f(0) = 1, então o valor de f(t-1) é:
 

Provas

Questão presente nas seguintes provas

Administrador

60 Questões

Advogado Empresarial

60 Questões

Analista - Comprador Técnico

60 Questões

Analista - Orçamento

60 Questões

Analista Administrativo

60 Questões

Analista Contábil

60 Questões

Analista de Custos

60 Questões

Analista de Recursos Humanos

60 Questões

Analista de Sistemas

60 Questões

Auditor

60 Questões

Contador

60 Questões

Engenheiro - Controle de Qualidade

60 Questões

Engenheiro - Mecatrônica

60 Questões

Engenheiro - Meio Ambiente

60 Questões

Engenheiro - Metalurgia

60 Questões

Engenheiro de Materiais

60 Questões

Engenheiro de Produção

60 Questões

Engenheiro de Segurança do Trabalho

60 Questões

Engenheiro de Telecomunicações

60 Questões

Engenheiro Eletricista

60 Questões

Engenheiro Mecânico

60 Questões

Engenheiro Químico

60 Questões

Especialista - TI

60 Questões

Médico do Trabalho

60 Questões