Magna Concursos
1950560 Ano: 2020
Disciplina: Matemática
Banca: IBADE
Orgão: Pref. Vila Velha-ES
Provas:

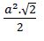
Calcular a área da seção reta de um paralelepípedo cuja base é um quadrado de lado a e cujas faces laterais são dois quadrados e dois losangos com ângulo de 60º .

 

Provas

Questão presente nas seguintes provas

Professor - Matemática

50 Questões