OBSERVAÇÕES:
1) A menos que seja explicitamente informado na questão, o termo “clicar” significa a operação de pressionar o botão esquerdo do mouse;
2) Para todos os programas e acessórios mencionados nas questões, considere a configuração padrão em português do Brasil, salvo se explicitamente mencionado o contrário.
ATENÇÃO: A questão refere-se ao aplicativo MS-Project versão 2007, em português, na sua configuração padrão, o qual será denominado apenas “Project”.
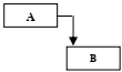
O Project oferece diversas formas de vínculo entre tarefas. Na forma mais comum, ilustrada na imagem a seguir, a tarefa dependente (B) não pode começar até que a tarefa da qual ela depende (A) seja concluída. Estamos falando de um vínculo do tipo:
