Um túnel reto é escavado através da Terra, como
mostrado na figura a seguir. Inexistem forças dissipativas. A
força gravitacional exercida pela Terra sobre uma partícula de
massa que dista r do centro da Terra,
quando r < R, é Fg = -(GmM/R3) r, em que M é a massa da
Terra e R é o raio da Terra.

G. Mosca e P. Tipler. Física para Cientistas e Engenheiros.
v. 1, 6.ª ed. (com adaptações).
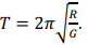
O período do movimento é independente do comprimento do túnel e é dado por
