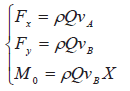
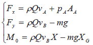
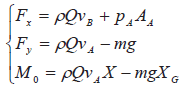
Avalie os esforços que o flange fixo A exerce sobre o joelho, decorrente do escoamento de água que possui uma velocidade vA com uma pressão pA em uma entrada com diâmetro dA. Na saída de diâmetro dB, o fluido possui uma velocidade vB e uma vazão QB.
A água possui uma massa específica p e a quantidade de água no joelho tem uma massa m, com centro de massa G (posicionado pelas coordenadas XG e YG em relação ao ponto
