Magna Concursos
Questões
Planos
Entrar
Entrar
Criar Conta
Respondida
2631311
Ano:
2023
Disciplina:
Contabilidade Geral
Banca:
VUNESP
Orgão:
Camprev
Provas:
Contador
Provas
×
Normas Contábeis
CPCs
CPC 03: Demonstração de Fluxo de Caixa (DFC)
Os dados e informações que se seguem serão utilizados para responder a questão.
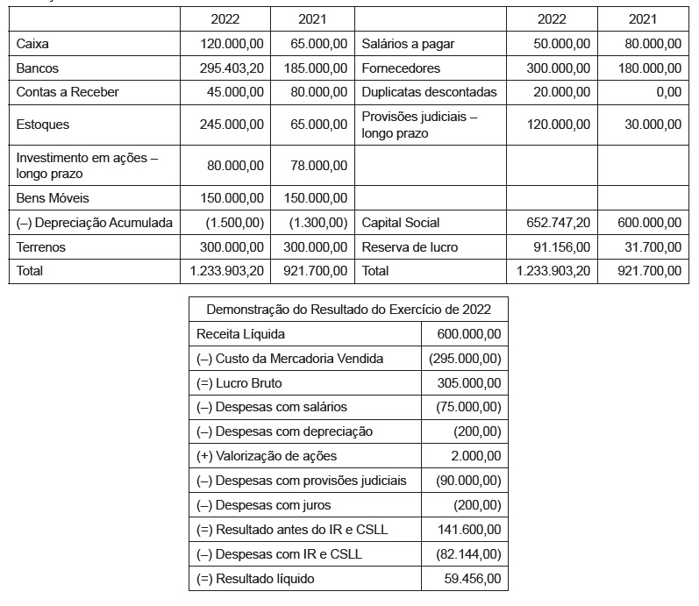
A Cia. OK apresentou as seguintes demonstrações contábeis referentes ao exercício de 2022:
Balanço Patrimonial em 31.12.2022
No período, a empresa:
A
gerou caixa e equivalentes no valor de 52.747,30.
B
gerou caixa e equivalentes no valor de R$ 165.403,20.
C
gerou caixa e equivalentes no valor de R$ 55.000,00.
D
não utilizou e nem gerou caixa e equivalentes.
E
utilizou caixa e equivalentes no valor R$ 2.000,00.
Resolver
Comentários
0
×
Cadernos
×
Flashcards
×
Estatísticas
×
Reportar um erro
×
Provas
Questão presente nas seguintes provas
Contador
50 Questões
Resolver Prova
Publicar
Responder
Qual o problema da questão?
Selecione uma opção
Questão Desatualizada
Questão Repetida
Gabarito Errado
Outros Motivos
Mensagem
Enviar
Acessar
Criar Conta
Acesse sua Conta
Google
Facebook
Esqueci minha senha
Acessar
Ainda não tem conta?
Crie uma
!
Crie uma Conta
Criar Conta
Olá, para continuar, precisamos criar uma conta!
É
rápido
e
grátis
.
Google
Facebook
Concordo com os
Termos de Uso
Criar
Já tem uma conta?
Acesse aqui